what is the potential transformer?
A potential transformer (PT), also known as a voltage transformer (VT), is a type of instrument transformer used in electrical power systems. It is designed to measure or monitor the voltage levels in a circuit and provide a scaled-down replica of the voltage for measurement or protection purposes.
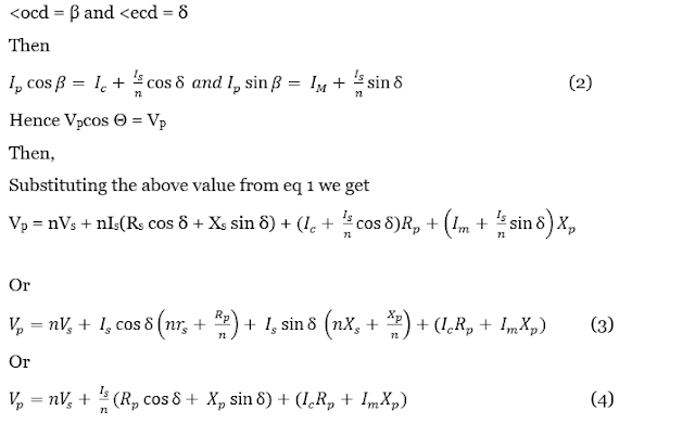
Potential Transformer
Potential transformers are a type of instrument transformer and these transformers are used to measure the voltages of high transmission lines or any electrical circuits. Potential transformers are used to step down the high voltages. Their primary coils are connected to the high voltage side and their secondary coils are connected to various instruments such as voltmeters, wattmeters, power factor meters, etc. These potential transformers provide 100v to 150v on their secondary winding so that the measuring instruments are connected easily according to their input voltages and these are sufficient to operate in this range of voltage. Measuring instruments such as wattmeters, voltmeters which are connected to the secondary winding of the potential transformer provide low readings according to their input voltage. The exact readings are obtained from these measuring instruments by dividing the transformation ratio. So that we can easily obtain the exact amount of voltage with the help of a potential transformer. The figure shows the potential transformer is connected with the voltmeter and how it is used when connected to the high voltage side below:


The potential transformers and the power transformers are the same as each other only the difference between these is that potential transformers have special requirements for the measurement of various electrical parameters. These requirements are as follows:
- The attenuation ratio must be accurately maintained in a potential transformer for the measurement of electrical parameters.
- Voltage drops should be reduced as possible and these are reduced by using proper design of core and by using large conductors.
- The load voltage / secondary voltage should be minimum and of a few volt-amperes so that the measuring instruments are connected easily on the secondary of potential transformers.
Construction
A potential transformer consists of its so many parts in its construction and these parts of the potential transformer (PT) are discussed below:
Core
Potential transformers are made with two types of core construction and these two types are core type PT and shell-type PT. The core type PTs are used for low voltage while the shell type PTs are used for high voltage. The core laminations of both shell-type and core-type PTs are assembled with so much care to avoid air gaps between the joints.
Winding
Both windings (primary and secondary) are coaxial cable type so that the leakage reactance is minimized. The secondary winding is placed nearer to the core and the primary winding is twisted on the secondary winding. The primary winding is made of a single coil when PT is required for low voltage use otherwise the primary winding is of double coil for high voltage uses.
Insulation
The insulation is required to separate the primary and secondary winding so cotton tape and varnish are most widely used as insulation in PTs. PTs are filled with solid compounds for low voltage otherwise the insulation is oil immersed.
Bushings
The bushings of PT are consisting of various types some are oil filed and these bushings are used for oil-filled potential transformers. Some PTs have two bushings for high voltage and some have only one bushing for high voltage some have two bushings and these are grounded and these not require any neutral connections.

Working
Potential transformers are commonly used for the measurement of voltage and power of distribution lines or transmission lines and it is used for the measurement of high voltage and power between the high power cable and are mainly used in grid stations, power stations, and on those places where power is generated and controlled for transmission and distribution for power. The working of a potential transformer is that it steps down the high voltage and provides the power according to the reading of a measuring instrument which is installed for the measurement of voltage or power. So, its main purpose is to provide voltage according to the measuring instrument so that the power is controlled according to its rating.
Theory of Potential Transformer
The figure shows the equivalent circuit of a potential transformer and the theory of a potential transformer is as under:

Vp = primary voltage
Ep = induced voltage in the primary winding
Vs = secondary voltage
Es = induced voltage in the secondary winding
Ip = primary current
Is = secondary current
I0 = no-load current
Ic = core loss component of current
Im = magnetizing component of current
Rp = resistance of the primary winding
Xp = reactance of primary winding
Rs = secondary winding resistance
Xs = secondary winding reactance
Rc = imaginary resistance/core loss
Xm = magnetizing reactance
Re = resistance of the external load
Xe = reactance of external load
Np = primary winding turns
Ns = secondary winding turns
N = turn ratio
Φ = flux of the potential transformer
δ = Phase angle between secondary winding voltage and secondary winding
β = Phase angle between primary current and Secondary Current
α = Phase angle between no-load current I0 and flux φ

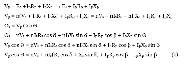
The flux conspires along the x-axis. Im is in phase with flux. Ic leads by Im 900. The sum of Ic and Im produces no load current Io. Ep is in the phase with the core loss component of current Ic. Es is 180o out of phase with the primary winding voltage Ep. Secondary voltage Vs is obtained by subtracting the IsRs and IsXs from the secondary voltage.
Phasor Diagram of Potential Transformer (PT)
The phasor diagram is displayed below:

The phase angle between the primary voltage and the secondary voltage is called the phase angle of PT. This phase angle is ideally equal to zero because these two phasors are in the same phase.
From the phasor diagram, we have,
But in reality, the phase angle is very small and the primary and secondary voltage are perpendicular to the flux and then;
Eq pt 2
Where Rs is the equivalent resistance of PT and Xs equivalent reactance of PT.
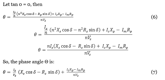
Phase Angle of Potential Transformer (PT)
From the phasor diagram the terms Ip and Is are less compared to large voltage and these terms are neglected thus we get:
Errors in Potential Transformers (PT)
There are two types of errors occurred in potential transformers. These errors also launch in the measurement of voltage. These errors occur in terms of the magnitude of the measured values. These errors are discussed below:
Ratio Errors
The ratio of the potential transformer is the difference between the minor and actual transformation ratio. This error has occurred in measurements of voltage and these errors are occurred due to the loss ratio between the transformation ratio.
Phase Angle Errors
Phase angle errors occur during the measurements of power. In these errors, the primary circuit of the potential transformer cannot be attained by multiplying the voltage which is measured with a voltmeter. These errors are determined by the resistance and reactance and the no-load current of the transformer.
Reducing Errors in Potential Transformers (PT)
The following points are used for the reduction of errors in the potential transformer:
To reduce the length of the magnetic path in the core. With this, the no-load primary current is reduced.
By using thick conductors and reducing the length of the mean turn of the windings.
By keeping close primary and secondary windings to each other. This reduces the leakage flux and the leakage reactance.
By reducing the length of the wound winding over the core. This will reduce the resistance of winding and provide high flux densities in the core.
Characteristics of ON Load Potential Transformer (PT)
Characteristics of the potential transformer are determined through the phasor diagram which is shown above and the determination between the ratio errors and phase angle errors of potential transformers. The following are the effects of various electrical parameters through which we will know the characteristics of practical potential transformers.
Effects of Changing in Secondary Voltage of Potential Transformer
When we increase the secondary voltage of the potential transformer then the secondary current also increases and this secondary current also increases the primary current of the potential transformer. Thus the voltage drops are produced in both primary and secondary winding and increase with respect to the increase in primary and secondary currents. The secondary voltage is reduced according to the primary supply voltage. So, this effect increases the transformation ratio (Vp/Vs where Vp is the primary voltage and Vs are the secondary voltage) and it also increases the ratio error and phase angle error and these errors remain linear in position as shown in the figure below:


Effects of Changing in Power Factor of Secondary Voltage
According to the phasor diagram of the potential transformer, the secondary current lags in arrears to the secondary voltage, and the phase angle difference remains positive. When we lower the power factor, this phase angle increases and it moves absent from secondary voltage. The phasor diagram represents that the primary current closes to no-load current and primary and secondary voltage are in phase with induced voltage in primary and secondary voltage. The primary voltage remains the same and the transformation ratio increases due to a reduction in power factor. The figure below identifies the phase angle and ratio errors in the potential transformer according to changes in the power factor of the secondary voltage.

