Kirchoff’s Current (KCL) and Voltage Laws (KVL)
Ohm’s law alone is not sufficient to analyze circuits unless it is coupled with Kirchhoff’s two laws:
- Kirchoff’s Current law (KCL)
- Kirchoff’s Voltage law (KVL)
KCL
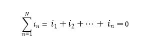
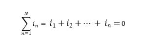
KCL states that the algebraic sum of currents entering a node (or a closed boundary) is zero.
Where ‘N’ is the number of branches connected to the node ‘n’ is the nth branch; and in is the nth branch current leaving or entering a node
Convention: current entering a node is positive; while leaving a node is negative

KCL equation:i1 – i5 + i4 + i3 – i2 = 0i1 + i3 + i4 = i2 – i5 |
Alternate KCL: The sum of currents entering a node is equal to the sum of currents leaving the node.
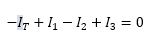
Example: Write KCL on node ‘a’ and find out ΙT.
Solution:
- So, an application of KCL is to combine current sources in parallel into one equivalent current source.

- A circuit cannot contain two different currents Ι1 and Ι2 in series unless Ι1=i2; otherwise KCL will be violated.
KVL:
KVL states that the algebraic sum of all voltage around a closed path (or loop) is zero.
Where M is the no. of voltages in a loop (or the number of branches in a loop), and vm is the mth voltage.
Convention: The sign on each voltage is the polarity of the terminal encountered first as we travel around the loop.
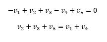
Example:

Alternate KVL: The sum of voltage drops is equal to the sum of voltage rises.
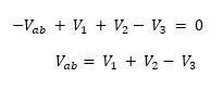
Example: Apply loop in the following circuit and find out Vab:


- This is an application of KVL where the voltage source in series can be combined into one equivalent source.
- Note that a circuit cannot contain two different voltages V1 and V2 in parallel unless V1 = V2; Otherwise KVL would be violated.
Example: Find out V1 and V2 using KVL.

Solution:
Example: Find out V1 and V2 using KVL.
Solution:

We observe that answers in both examples are handled well by polarity changes.