Comparison Between Different Types Of Optical Fibres | Definition And Types Of Optical Fiber | Fiber Optics and Types

OPTICAL FIBRE

An optical fibre is a thin strand of glass or plastic that serves as a transmission medium over which the information passes. To be more technical, an optical fibre
is a dielectric waveguide that operates at optical frequencies (1013 to 1016 Hz) and transfers information in the form of light by the mechanism of total internal reflection. The optical fibre consists of a central core surrounded by a cladding layer.

Types of Optical Fibres

The different types of optical fibres are,

  • Step index and Graded index fibre based on refractive index profile
  • Single-mode and multimode fibre based on the number of modes
  • Glass, Plastic clad and All plastic fibres based on material

Comparison

A detailed comparison of different types of optical fibres is presented below:
1. Step Index and Graded Index Fibre
This classification is based on the refractive index profile of the core and cladding. The refractive index or Index of Refraction is the fundamental optical parameter of a medium. The value of the refractive index shows how a ray of light travels in a medium.

Step index fibreGraded index fibre
It is a fibre in which the refractive index of the core is uniform throughout the length of the fibre.The refractive index of the core is not constant.
The refractive index undergoes an abrupt change (like step function) at the cladding boundary
Single mode Step Index FibreMultimode Step Index Fibre
The core refractive index is made to vary as a function of radial distance from the centre of the fibre.
Multimode Graded Index Fibre
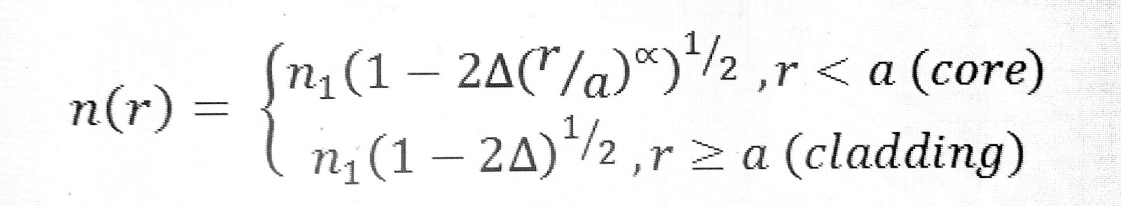
The RI profile is given by,
Where n— RI of the core; n— RI of cladding and a – radius of core.
The RI profile is given by,
Where n1 — RI of the core; n— RI of cladding and a – radius of core.
The RI of the cladding is slightly less than that of the coreThe ri is maximum at the axis of the core and it decreases from core to cladding.
The diameter of the core is about 50 to 200µm in the case of multimode fibre and 10µm in the case of single-mode fibreThe diameter of the core is about 50µm in the case of multimode fibre
Ray of light is offered a path that is confined to the plane containing the fibre core axis when passed through the step-index fibre. The rays are called MERIDIONAL RAYS.
Meridional Rays
The ray of light is offered a helical path to pass through the graded index fibre. The rays are named SKEW RAYS.
Skew Rays
The losses and pulse distortion are highThe losses and pulse distortion are reduced because of the self-focusing effect.
The information-carrying capacity is lessThe information-carrying capacity is increased.

2. Single Mode and Multi Mode Fibres


Mode describes the path of propagation of light rays along the optical fibre. The pattern of light ray propagation classifies fibres into single-mode and multi-mode.

Single mode fibresMulti-mode fibres
It has only one path for transmission which means only a single mode can travel through it. Single mode Step Index Fibre
In multimode fibres, more than one mode can propagate through the fibre. Multimode Graded Index FibreMultimode Step Index Fibre
The core diameter is narrow (2 to 10µm)The core diameter is wide (>50µm)
The refractive index difference between core and cladding is very small.The refractive index difference between core and cladding is large.
The single mode fibres are always step index as the core is narrow which cannot be made graded index.It can be made by either step index or graded index fibre since the core is wide.
Only LASER can be used as the optical source.LED and LASER are used as an optical sources.
There is no dispersion because of no degradation of signals during its propagation through the fibre.There is signal distortion due to multimode dispersion and material dispersion.
These are suitable for long-distance communication because of their greater information-carrying capacity.Large dispersion and attenuation limit its application to short-distance communication. These fibres are used in Local Area Networks.
Launching light into these fibres and joining two fibres are very difficult.Launching light into these fibres and joining two fibres are easy.
Fabrication is very difficult making it costlier.Fabrication is comparatively easier and it is not costly.

3. Glass, Plastic Clad and All Plastic Fibres


An optical fibre is usually made of glass. It can also be made out of plastic in order to add strength to it. Based on the material of fabrication of optical fibre, it is categorised into  Glass, Plastic clad and All plastic fibres.

Glass fibresPlastic clad fibresAll plastic fibres
In glass fibres, both the core and cladding are made of glass consisting of either silica or silicate.Plastic-clad fibres have a plastic cladding made of silicone rubber and a glass core made of silica.All plastic fibres have plastic cores and cladding.
Glass fibres resist deformation at temperatures as high as 1000˚C, and thermal shock and are highly transparent.These fibres exhibit lower radiation-induced losses and have improved performance.The plastic core and cladding reduce the requirement for a buffer jacket for fibre protection.
Losses are less.Medium lossesHigh losses
Mechanical strength is poor.Mechanical strength is mediumLarge mechanical strength.
These are used for long-distance communication because of low losses.These are used for medium-distance communication.These fibres are used for very short-haul low-cost links.

Related Topic

Leave a Comment

WhatsApp chat button